r(t)=⎩⎪⎪⎨⎪⎪⎧0,A,t<0t>0

r(t)={0,1,t<0t>0
单位阶跃函数的拉普拉斯变换:
R(s)=s1
r(t)=⎩⎪⎪⎨⎪⎪⎧0,At,t<0t⩾0

其拉普拉斯变换:
R(s)=s2A
r(t)=⎩⎪⎪⎨⎪⎪⎧0,At2,t<0t≥0

R(s)=2As31
当 A=21时,称为单位抛物线函数。
r(t)=⎩⎪⎪⎨⎪⎪⎧εA,0,0<t<εt<0及t>ε
当A=1时,记为δε(t);令ε→0,则称为单位脉冲函数δ(t).

单位脉冲函数的拉普拉斯变换:
R(s)=1
系统响应=零状态响应+零输入响应
单位阶跃响应: 如给定输入r(t)为单位阶跃函数的形式,系统的输出即为单位阶跃响应,一般用h(t)表示。
单位脉冲响应: 如给定输入r(t)为单位脉冲函数形式,系统的输出即为单位脉冲响应,一般用g(t)表示。

定义为暂态响应期间输出超过终值c(∞)的最大偏离量。
Mp(%)=c(∞)c(tp)−c(∞)×100%
最大超调量发生的时间(从t=0开始计时)称为峰值时间。
在暂态过程中,输出第一次达到对应于输入的终值的时间(从t=0开始计时)称为上升时间。
输出与其对应于输入的终值之间的偏差达到容许范围(一般取5%或2%)所经历的暂态过程时间(从t=0开始计时)称为调整时间.
若无特殊说明,则到5%内和2%内的两个调整时间都要研究。
ISEITSEIAEITAEJJJJ=∫0∞e2(t)dt(误差平方积分)=∫0∞te2(t)dt(时间乘误差平方积分)=∫0∞∣e(t)∣dt(误差绝对值积分)=∫0∞t∣e(t)∣dt(时间乘误差绝对值积分)
稳态误差:在给定参考输入或外来扰动加入稳定的系统后,经过足够长的时间,其暂态响应已经衰减到微不足道的情况下,系统稳态响应的实际值与期望值之间的误差。
分析一、二阶等系统暂态响应数值时,应注重直观物理意义

传递函数:$$\frac{C\left(s\right)}{R\left(s\right)}=\frac{1}{\tau s+1}$$
其有负实数极点-\frac{1}

C(s)=s(τs+1)1=s1−τs+1τ
h(t)=c(t)=1−e−t/τ
| 经过时间 |
响应达到稳态值的 |
意义 |
| τ |
63.2% |
|
| 3τ |
95% |
调整时间t_ |
| 4τ |
98% |
调整时间t_ |

C(s)=τs+11
g(t)=c(t)=τ1e−t/τ
调整时间ts=3τ

C(s)=τs+11s21
c(t)=(t−τ)+τe−t/τ
一阶系统在单位斜坡函数输入作用下,其误差是自零开始,随时间推移,误差将按指数函数规律增长,最终趋于常值τ。
认为误差自零开始增长到其终值的95%所经历的时间即是系统的调整时间,则一阶系统在单位斜坡函数信号输入下的调整时间是ts=3τ
单位加速度响应略。

R(s)C(s)=s2+2ζωns+ωn2ωn2
可求得该系统的极点为:
s1,s2=−ζωn±ωnζ2−1=−ζωn±jωn1−ζ2=σ±jω=−ζωn±jωd
ζ——阻尼比;ωn——无阻尼自然振荡角频率。
这个极点的公式是后续分析其变化趋势、稳定性的重要元素。
系统极点si的实部控制着时间响应的暂态分量是发散还是衰减的,以及暂态分量随时间的变化率。
当 σ>0 时,暂态响应随时间增长而发散;当σ<0 时,暂态响应随时间增长而衰减。而σ=−ζωn,则当 ζ>0 时,暂态响应随时间增长而衰减;当 ζ<0 时,暂态响应随时间增长而发散。
具体变化趋势如下图:

上面的几个状态,从上到下分别称之为:过阻尼 临界阻尼 震荡衰减 等幅振荡 震荡发散 单调发散
总而言之:ζ越小(阻尼越小),系统越容易趋向于发散;ζ越接近0,系统越容易震荡。
直观记忆
阻尼系数ζ可视作系统中的阻力,阻力越接近0,系统越接近理想振动;阻力为正时越大,系统越快趋向于静止;阻力为负且越大,即系统震荡越激发越大,大于一时连一个回转也没有完成就直接发散。
⎩⎪⎪⎪⎪⎪⎪⎪⎨⎪⎪⎪⎪⎪⎪⎪⎧ 欠阻尼: 临界阻尼: 过阻尼: 0<ζ<1ζ=1ζ>1p1,2p1,2p1,2===−ζωn±jωn1−ζ2−ωn−ζωn±ωnζ2−1
系统极点在坐标系中的位置也有规律。

极点位于以原点为圆心,半径为ωn的圆上。位置角度由ζ决定,有阻尼角
ζ=cosθ
极点的高度:
ωd=ωn1−ζ2
极点在复平面中位置和系统稳定性的关系
对于所有的系统,当且仅当所有的极点都在复平面左侧(即其实部小于零),系统稳定。
上升时间tr:
tr=ωdπ−θ
峰值时间tp:
tp=1−ζ2ωnπ=ωdπ
最大超调量Mp:
Mp=exp(−1−ζ2ζπ)×100%
调整时间ts:
记$$1\pm\frac{e{-\zeta\omega_nt_s}}{\sqrt{1-\zeta_n2}}=1\pm\Delta$$
当0<ζ<0.7时,
ts=ζωn−lnΔ−ln1−ζ2≈{ζωn4,Δ=0.02ζωn3,Δ=0.05
一般取ζ=0.707为最佳阻尼比


加入PD环节之后的特点:
- 闭环传递函数增加了一个实数零点,且零点位于s左半平面
- 阻尼比ζd大于原系统的阻尼比ζ
- 系统无阻尼自然振荡角频率没有变化
利用二阶系统G的公式、四个响应参数的公式,给出一部分值然后公式代换算其他值。
利用终值定理公式。
看二阶系统稳不稳定->通过简化框图写传递函数G(s)
->计算ζ 通过阻尼系数得知稳定性
->或极点是否全部在复平面左侧
高阶系统的传递函数的形式:
R(s)C(s)=sn+α1sn−1+⋯+αn−1s+αnb0sm+b1sm−1+⋯+bm−1s+bm=(s−p1)(s−p2)⋯(s−pn)K1(s−z1)(s−z2)⋯(s−zm)
中间为多项式形式,右边为零极点形式
经过一堆奇妙的变换可以得出结论:
高阶系统的暂态响应是一阶和二阶系统暂态响应分量的合成。具体有以下几个特性:
- 系统极点在s平面左半边距虚轴越远,相应的暂态分量就衰减得越快
- 如果零点和极点离得很近,那么这个极点对暂态响应的影响就会被抵消掉,可以忽略(在数学上,就是分子分母有一部分分式很接近,可以近似相消)
- 从上面两个点可得:如果高阶系统中距离虚轴最近的极点,其实部比其他极点的实部的1/5还要小(即这个极点占总暂态响应的分量非常大),并且该极点附近没有零点(这个极点没有被抵消掉),那么可以认为系统的响应主要由该极点确定
稳定性的定义:
设线性定常系统处于某一平衡状态,若此系统在干扰作用下离开了原来的平衡状态,那么,在干扰作用消失后,系统能否回到原来的平衡状态,这就是系统的稳定性问题。
系统传递函数的全部极点si都位于s平面左半平面
用于判定系统的稳定性。
将系统的特征方程写成如下标准形式:
a0sn+a1sn−1+a1sn−2+…+an−1s+an=0
并将各系数排成劳斯表:
系数ai写出头两行:
snsn−1a0a1a2a3a4a5a6a7⋯⋯
然后按公式写出后续的系数:

其中新增的系数都有以下规律:
b1=a1a1a2−a0a3
写完劳斯表之后观察第一列的正负号,即从a0,a1,b1…的一竖列
如果符号相同->系统具有正实部特征根的个数等于零->系统稳定;
如果符号不同->符号改变的次数等于系统具有正实部特征根的个数->系统不稳定。
如果第一列中某一个数出现了0,那么就用任意小数ε代替。
如果出现这种情况,则表明在s平面中有对称于原点的实根,或共轭虚根存在.
处理方法:
- 取元素全为零的前一行,以其系数组成辅助方程,式中的s均为偶次
- 求辅助方程对s的导数,以其系数代替全为零值的一行
- 用通常的方法继续求下面各行的系数,并判断稳定性
- 解辅助方程,求得各对称根
这个原理和劳斯判据相同,且比较复杂,因此具体构造不怎么做要求。
首先还是传递函数的特征方程:
D(s)=a0sn+a1sn−1+...+an−1s+an=0
把各个系数写成一个矩阵:

矩阵怎么写:矩阵主对角线上是从a1开始的各项系数,每行的元素是从左到右递减补充完。
根据这个矩阵,系统稳定的充分必要条件是:当a0>0的情况下,上述矩阵的各阶主子式均大于零
目的:系统太复杂了,找出里面影响较小的部分忽略或近似。
\text{系统响应}\left\{
\begin{array}{cc}\text{暂态响应}\\\\\text{稳态响应}&\longrightarrow&\text{稳态误差}\left\{ \\
\begin{array}
\text{给定稳态误差} \\
\text{扰动稳态误差}
\end{array}
\right.
\end{array}
\right.

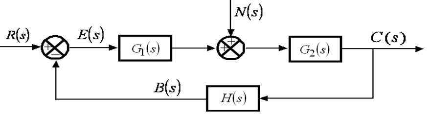
上图是本节和下一节最重要的图。
记开环传递函数G(s)=G1(s)G2(s)H(s),开环就是说把上图中H(s)和RE之间的通路断开。
为了方便我可能会把(S)省略……
不考虑扰动量N(s)
Φe(s)=R(s)Er(s)=RR−CH=1+G(s)1
不考虑参考输入R(s)
Φn(s)=N(s)En(s)=1+G1(s)G2(s)H(s)G2(s)=1+G(s)G2(s)
注意,和上一条公式不同,这一公式中的En(s)并不是框图中的E,因为对应于扰动量的响应就是扰动误差,所以这里的En(s)其实是框图中的C(s)
系统开环传递函数可以记作:
G(s)=Sν+μ∏i=1n−ν−μ(τis+1)K∏j=1m(Tjs+1),(n≥m)
那么通过sν+μ的上标ν+μ可以给系统分类:
ν+μ: 系统类型⟶⎩⎪⎪⎪⎪⎪⎪⎪⎨⎪⎪⎪⎪⎪⎪⎪⎧ν+μ=0ν+μ=1ν+μ=20型系统I型系统II型系统
这几个X型系统定义的作用
在下一节对于稳态误差的分析中,会研究这几型比较典型的系统。
这里需要研究下分别在单有给定量R或扰动量N作用下的,系统整体的输出量C和误差量E的传递函数(这一节讲的误差就是框图里面的E了);一旦单有给定量R或扰动量N作用下的传递函数出来后,线性叠加,就是总的系统闭环传递函数或者系统误差闭环传递函数。
系统传递函数就是研究系统输出量C(s)和输入量R(s)/扰动量N之间的关系,通过单独考虑给定量R或扰动量N作用,再叠加起来得到总作用。
- 假设N(s)为0,考虑输入量R(s)作用
R(s)CR(s)=1+G1(s)G2(s)H(s)G1(s)G2(s)
当∣G1(s)G2(s)H(s)∣>>1时,有:
R(s)CR(s)≈H(s)1
感觉就是模电里面学到的深度负反馈。
当H(s)=1时:
R(s)CR(s)=1+G1(s)G2(s)G1(s)G2(s)
- 假设R(s)为0,考虑扰动量N(s)作用
N(s)CN(s)=1+G1(s)G2(s)H(s)G2(s)
当∣G1(s)G2(s)H(s)∣>>1,∣G1(s)H(s)∣>>1时:
N(s)CN(s)→0
也就是说扰动被抑制,也就是说反馈能抑制扰动。
- 总作用
把R(s)CR(s)和N(s)CN(s)叠加起来,就是总的输出:
C(s)=CR(s)+CN(s)=1+G1(s)G2(s)H(s)G2(s)[G1(s)R(s)+N(s)]
系统传递函数就是研究系统误差量E(s)和输入量R(s)/扰动量N之间的关系,通过单独考虑给定量R或扰动量N作用,再叠加起来得到总作用。
- 假设N(s)为0,考虑输入量R(s)作用
R(s)ER(s)=1+G1(s)G2(s)H(s)1
- 假设R(s)为0,考虑扰动量N(s)作用
N(s)EN(s)=1+G1(s)G2(s)H(s)−G2(s)H(s)
E(s)=1+G1(s)G2(s)H(s)1R(s)+1+G1(s)G2(s)H(s)−G2(s)H(s)N(s)
注意几个“误差传递函数”的差别
这里刚刚提到的ER(s)和EN(s)和上一届讲到的给定误差传递函数Er(s)和扰动误差传递函数En(s)并不一样,从定义上就不一样,需要分辨。
小总结一下本节提到的几个闭环传递函数:
|
仅输入量R(s)作用 |
仅扰动量N(s)作用 |
| 系统传递函数(研究C(s)) |
\frac{C_R(s)}{R(s)}=\frac{G_1(s)G_2(s)} |
\frac{C_N(s)}{N(s)}=\frac{G_2(s)} |
| 系统误差传递函数(研究E(s)) |
\frac{E_R\left(s\right)}{R\left(s\right)}=\frac{1} |
\frac{E_N\left(s\right)}{N\left(s\right)}=\frac{-G_2\left(s\right)H\left(s\right)} |
可以发现系统的闭环传递函数具有相同的特征多项式。
也就是说同一系统闭环传递函数的极点相同。
给定稳态误差的种植根据终值定理和系统误差传递函数计算:
\begin{array}
&&e_{sr}=\lim_{s\to0}sE_r(s) \\
&=\lim_{s\to0}sR(s) \frac{1}{1+G(s)} \\
&=\lim_{s\to0}sR(s)\frac{s^{\nu+\mu}\prod_{i=1}^{n-\nu-\mu}(\tau_is+1)}{s^{\nu+\mu}\prod_{i=1}^{n-\nu-\mu}(\tau_is+1)+K\prod_{j=1}^m(T_js+1)}
\end{array}
然后分别分析单位阶跃输入、单位斜坡输入、单位抛物线输入的误差终值。
单位阶跃输入:R(s)=\frac{1}
esr=s→0lims1+G(s)1s1=1+lims→0G(s)1=1+Kp1
Kp称为稳态位置误差系数,
Kp=s→0limG(s)
单位斜坡输入:R(s)=s21
esr=s→0lims1+G(s)1s21=lims→0sG(s)1=Kv1
Kv称为稳态速度误差系数
Kv=s→0limsG(s)
单位抛物线输入:R(s)=\frac{1}
esr=s→0lims1+G(s)1s31=lims→0s2G(s)1=Ka1.
Ka称为稳态加速度误差系数
Ka=s→0lims2G(s)
现在要用前面的0 Ⅰ Ⅱ型系统来分析系统典型的给定稳态误差表现了。
经计算可以直接得出下表:
给定稳态误差终值表
| 给定输入r(t) |
0型系统 |
Ⅰ型系统 |
Ⅱ型系统 |
| 1 |
1+Kp1 |
0 |
0 |
| t |
∞ |
Kv1 |
0 |
| \frac{1}{2}t^ |
∞ |
∞ |
Ka1 |
减小和消除系统给定稳态误差的方法:增加开环传递函数中的积分环节
扰动稳态终值误差的计算和刚才的给定稳态误差终值计算是非常类似的。
esn=s→0limsEsn(s)=s→0limsΦn(s)N(s)=s→0limsN(s)sν+μ∏i=1n−ν−μ(τis+1)+K∏j=1m(Tjs+1)K2sν∏i=1q(Tis+1)∏j=l+1m(τjs+1)
esn=lims→0Φn(s)
esn=s→0lims1Φn(s)
esn=s→0lims21Φn(s)
| 扰动输入n(t) |
ν=0系统 |
ν=1系统 |
ν=2系统 |
| 1 |
1+KK2(μ=0) |
0 |
0 |
| 1 |
K1K31(μ=0) |
0 |
0 |
| t |
∞ |
K1K31 |
0 |
| \frac{1}{2}t^ |
∞ |
∞ |
K1K31 |
- 比例积分环节提高稳态精度
- 闭环回路提高稳态精度
- 输入量补偿的复合控制
- 干扰补偿的复合控制
要求知识点:
单位阶跃、斜坡和抛物线函数概念;
单位阶跃响应,单位脉冲响应概念及特点;
暂态性能4个参数,稳态性能1个参数的概念;
二阶系统极点表达式;
二阶系统不同阻尼比对应的不稳定、临界稳定、欠阻尼、临界阻尼、过阻尼状态;以及阻尼比大于等于0时的时域输出曲线;
Wd、θ表达式;
上升时间、峰值时间、调整时间、最大超调量表达式;
主导极点概念;
线性定常系统极点稳定条件;
劳斯判据相比极点稳定条件的改进;
劳斯判据三种情况;
小参量概念;
赫尔维茨判据概念;
给定稳态误差、扰动稳态误差概念
稳态误差传递函数 和传递函数表达式;
终值定理计算稳态误差传递函数的方法;
系统型次;
kp、kv、ka定义以及系统型次和输入阶次关系;
降低稳态误差的方法;